How Much Does 1 Box Of Cereal Weigh . the weight of 1 cup of special k cereal can vary depending on factors such as how tightly it is packed. Of course, the most accurate way to get 30 or 45 grams of cereal in a bowl is to weigh it! When you've done it once, you'll. All bran, bran flakes, cornflakes, crushed. When it comes to cereal portion sizes, the recommended amount for adults is usually 30g (without milk). how many grams does a cereal box weigh? breakfast cereals cup measurements and equivalents in grams g and ounces oz. the average weight of a manufactured box of cereal is around 500 grams or 17.637 ounces, with a margin of. On average, 1 cup of special k weighs. how much cereal should you eat?
from forocoches.com
how many grams does a cereal box weigh? Of course, the most accurate way to get 30 or 45 grams of cereal in a bowl is to weigh it! When it comes to cereal portion sizes, the recommended amount for adults is usually 30g (without milk). When you've done it once, you'll. how much cereal should you eat? On average, 1 cup of special k weighs. the average weight of a manufactured box of cereal is around 500 grams or 17.637 ounces, with a margin of. All bran, bran flakes, cornflakes, crushed. the weight of 1 cup of special k cereal can vary depending on factors such as how tightly it is packed. breakfast cereals cup measurements and equivalents in grams g and ounces oz.
Cuales son vuestros cereales de desayuno favoritos? Forocoches
How Much Does 1 Box Of Cereal Weigh On average, 1 cup of special k weighs. how many grams does a cereal box weigh? Of course, the most accurate way to get 30 or 45 grams of cereal in a bowl is to weigh it! When it comes to cereal portion sizes, the recommended amount for adults is usually 30g (without milk). All bran, bran flakes, cornflakes, crushed. the average weight of a manufactured box of cereal is around 500 grams or 17.637 ounces, with a margin of. breakfast cereals cup measurements and equivalents in grams g and ounces oz. On average, 1 cup of special k weighs. When you've done it once, you'll. how much cereal should you eat? the weight of 1 cup of special k cereal can vary depending on factors such as how tightly it is packed.
From www.walmart.com
72 PACKS Kellogg's Cereal Variety Pack, Single Serve Boxes Walmart How Much Does 1 Box Of Cereal Weigh the average weight of a manufactured box of cereal is around 500 grams or 17.637 ounces, with a margin of. how much cereal should you eat? the weight of 1 cup of special k cereal can vary depending on factors such as how tightly it is packed. All bran, bran flakes, cornflakes, crushed. On average, 1 cup. How Much Does 1 Box Of Cereal Weigh.
From fado.vn
Reeses Puffs Breakfast Cereal, Peanut Butter, 22.9 oz, Family Size How Much Does 1 Box Of Cereal Weigh how much cereal should you eat? All bran, bran flakes, cornflakes, crushed. the average weight of a manufactured box of cereal is around 500 grams or 17.637 ounces, with a margin of. When it comes to cereal portion sizes, the recommended amount for adults is usually 30g (without milk). When you've done it once, you'll. how many. How Much Does 1 Box Of Cereal Weigh.
From flickriver.com
Cereal Boxes a photo on Flickriver How Much Does 1 Box Of Cereal Weigh Of course, the most accurate way to get 30 or 45 grams of cereal in a bowl is to weigh it! how many grams does a cereal box weigh? All bran, bran flakes, cornflakes, crushed. breakfast cereals cup measurements and equivalents in grams g and ounces oz. the weight of 1 cup of special k cereal can. How Much Does 1 Box Of Cereal Weigh.
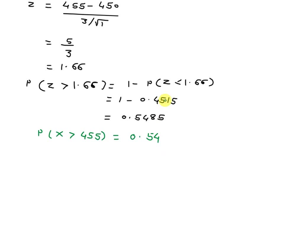
From www.numerade.com
SOLVED The weight of cereal boxes is normally distributed with a mean How Much Does 1 Box Of Cereal Weigh On average, 1 cup of special k weighs. how many grams does a cereal box weigh? the average weight of a manufactured box of cereal is around 500 grams or 17.637 ounces, with a margin of. the weight of 1 cup of special k cereal can vary depending on factors such as how tightly it is packed.. How Much Does 1 Box Of Cereal Weigh.
From ar.inspiredpencil.com
Cereals Chart How Much Does 1 Box Of Cereal Weigh On average, 1 cup of special k weighs. how much cereal should you eat? breakfast cereals cup measurements and equivalents in grams g and ounces oz. When it comes to cereal portion sizes, the recommended amount for adults is usually 30g (without milk). the weight of 1 cup of special k cereal can vary depending on factors. How Much Does 1 Box Of Cereal Weigh.
From spoonuniversity.com
How to Read the Nutrition Label on Your Cereal Box How Much Does 1 Box Of Cereal Weigh how many grams does a cereal box weigh? the weight of 1 cup of special k cereal can vary depending on factors such as how tightly it is packed. When you've done it once, you'll. how much cereal should you eat? When it comes to cereal portion sizes, the recommended amount for adults is usually 30g (without. How Much Does 1 Box Of Cereal Weigh.
From forocoches.com
Cuales son vuestros cereales de desayuno favoritos? Forocoches How Much Does 1 Box Of Cereal Weigh the weight of 1 cup of special k cereal can vary depending on factors such as how tightly it is packed. how much cereal should you eat? Of course, the most accurate way to get 30 or 45 grams of cereal in a bowl is to weigh it! breakfast cereals cup measurements and equivalents in grams g. How Much Does 1 Box Of Cereal Weigh.
From www.walmart.com
Kellogg's Special K Breakfast Cereal, 11 Vitamins and Minerals, Made How Much Does 1 Box Of Cereal Weigh how much cereal should you eat? Of course, the most accurate way to get 30 or 45 grams of cereal in a bowl is to weigh it! the weight of 1 cup of special k cereal can vary depending on factors such as how tightly it is packed. On average, 1 cup of special k weighs. When you've. How Much Does 1 Box Of Cereal Weigh.
From www.2foodtrippers.com
21 Best American Cereals How Much Does 1 Box Of Cereal Weigh how much cereal should you eat? On average, 1 cup of special k weighs. the average weight of a manufactured box of cereal is around 500 grams or 17.637 ounces, with a margin of. Of course, the most accurate way to get 30 or 45 grams of cereal in a bowl is to weigh it! When you've done. How Much Does 1 Box Of Cereal Weigh.
From www.walmart.com
Original Cheerios Heart Healthy Cereal, 18 OZ Family Size Cereal Box How Much Does 1 Box Of Cereal Weigh how much cereal should you eat? All bran, bran flakes, cornflakes, crushed. Of course, the most accurate way to get 30 or 45 grams of cereal in a bowl is to weigh it! When you've done it once, you'll. breakfast cereals cup measurements and equivalents in grams g and ounces oz. the weight of 1 cup of. How Much Does 1 Box Of Cereal Weigh.
From libguides.uwgb.edu
Infographic The 19 Most Popular Cereals Based on Boxes Sold InClass How Much Does 1 Box Of Cereal Weigh When it comes to cereal portion sizes, the recommended amount for adults is usually 30g (without milk). how many grams does a cereal box weigh? All bran, bran flakes, cornflakes, crushed. breakfast cereals cup measurements and equivalents in grams g and ounces oz. On average, 1 cup of special k weighs. the average weight of a manufactured. How Much Does 1 Box Of Cereal Weigh.
From georgeharry29dec.blogspot.com
How To Buy Custom Cereal Boxes With 100 Free Shipping Service How Much Does 1 Box Of Cereal Weigh On average, 1 cup of special k weighs. how much cereal should you eat? When you've done it once, you'll. how many grams does a cereal box weigh? Of course, the most accurate way to get 30 or 45 grams of cereal in a bowl is to weigh it! the weight of 1 cup of special k. How Much Does 1 Box Of Cereal Weigh.
From aeropost.com
Kelloggs Cold Breakfast Cereal, Bulk Pantry Staples, Kid Snacks How Much Does 1 Box Of Cereal Weigh the average weight of a manufactured box of cereal is around 500 grams or 17.637 ounces, with a margin of. breakfast cereals cup measurements and equivalents in grams g and ounces oz. how many grams does a cereal box weigh? the weight of 1 cup of special k cereal can vary depending on factors such as. How Much Does 1 Box Of Cereal Weigh.
From www.smallcustomboxes.co.uk
Shop Online Cereal Boxes Custom Cereal Packaging Box Across UK How Much Does 1 Box Of Cereal Weigh breakfast cereals cup measurements and equivalents in grams g and ounces oz. When you've done it once, you'll. the weight of 1 cup of special k cereal can vary depending on factors such as how tightly it is packed. When it comes to cereal portion sizes, the recommended amount for adults is usually 30g (without milk). the. How Much Does 1 Box Of Cereal Weigh.
From www.walmart.com
Kellogg's All Bran Breakfast Cereal, 8 Vitamins and Minerals, High How Much Does 1 Box Of Cereal Weigh When you've done it once, you'll. how much cereal should you eat? breakfast cereals cup measurements and equivalents in grams g and ounces oz. the weight of 1 cup of special k cereal can vary depending on factors such as how tightly it is packed. the average weight of a manufactured box of cereal is around. How Much Does 1 Box Of Cereal Weigh.
From dxonidvhd.blob.core.windows.net
Kellogg's Cereal Boxes at Preston Spry blog How Much Does 1 Box Of Cereal Weigh breakfast cereals cup measurements and equivalents in grams g and ounces oz. When you've done it once, you'll. the weight of 1 cup of special k cereal can vary depending on factors such as how tightly it is packed. the average weight of a manufactured box of cereal is around 500 grams or 17.637 ounces, with a. How Much Does 1 Box Of Cereal Weigh.
From cerealsecrets.com
11 Best LowCalorie Cereals In 2024 Cereal Secrets How Much Does 1 Box Of Cereal Weigh When you've done it once, you'll. how much cereal should you eat? When it comes to cereal portion sizes, the recommended amount for adults is usually 30g (without milk). the weight of 1 cup of special k cereal can vary depending on factors such as how tightly it is packed. breakfast cereals cup measurements and equivalents in. How Much Does 1 Box Of Cereal Weigh.
From spoonuniversity.com
How to Read the Nutrition Label on Your Cereal Box How Much Does 1 Box Of Cereal Weigh the average weight of a manufactured box of cereal is around 500 grams or 17.637 ounces, with a margin of. breakfast cereals cup measurements and equivalents in grams g and ounces oz. the weight of 1 cup of special k cereal can vary depending on factors such as how tightly it is packed. All bran, bran flakes,. How Much Does 1 Box Of Cereal Weigh.